Contrarian Corpus
short seller research note initial thesis
2016-12-13 · 54 pages

Nidec Corp. 6594 JP

Nidec is a gigantic stock promotion: zero organic growth and aggressive accounting hide behind a Facebook-like multiple — fair value JPY 4,764, ~52% downside.

N 5 Narrative
V 2 Visual
C 2 Craft
Source URL unavailable

Thesis

Muddy Waters argues Nidec Corp. (6594 JP) is a 'gigantic stock promotion' orchestrated by CEO Shigenobu Nagamori, whose comic-book persona 'The Man Hotter Than the Sun' has hypnotized sell-side analysts. Despite the 'cult of Nagamori,' Nidec's organic growth CAGR from FY11-FY15 was just 0.05%, and management has serially missed targets — FY15 sales by 41%, FY15 automotive sales by 75%, EPS unit forecasts by 42%. Reported profitability has been flattered by JPY 36 billion in questionable write-offs, falling effective tax rates that boosted EPS by 11.4% since FY13, segment reclassifications that move revenue into Automotive, and alleged channel-stuffing by China salespeople. Yet the market values Nidec's non-HDD businesses at 21.5x EV/EBITDA — close to Facebook's 24.9x — versus 6-9x for auto-parts peers. Muddy Waters values shares at JPY 4,764, implying ~52% downside.

SCQA

Situation

Nidec is Japan's dominant HDD-motor maker (80% share), now diversifying into automotive, appliances and industrial motors under the cult-like leadership of founder-CEO Shigenobu Nagamori, trading at JPY 9,888 and a JPY 2,948 billion market cap.

Complication

Beneath the hype, organic growth is effectively zero, management chronically misses its own targets, and reported profits are flattered by JPY 36bn in questionable write-offs, falling tax rates, opaque segment reclassifications and alleged channel-stuffing in China.

Resolution

Investors should sell or short Nidec; Nidec should reverse its U.S. delisting, provide clear organic-growth disclosure by product group, and report acquired businesses' performance for at least four quarters post-deal.

Reward

Re-rating the non-HDD business from 21.5x to a peer-appropriate 8.0x EV/EBITDA, with HDD at 7.5x, implies a JPY 4,764 share price — over 50% downside from JPY 9,888.

The three reasons

  1. 1

    Nidec is valued like Facebook (21.5x ex-HDD EBITDA) but organic growth is essentially zero (0.05% CAGR FY11-15)

  2. 2

    Management chronically misses its own targets — FY15 sales missed by 41%, automotive sales by 75%

  3. 3

    Aggressive accounting, JPY 36bn questionable write-offs, channel-stuffing in China, and weak auditor inflate reported profitability

Primary demands

  • Reverse decision to delist U.S. ADSes and continue filing financial statements in the U.S.
  • Provide separate, organic and consolidated reporting for HDD, Other Small Precision Motors, Appliances, Commercial and Industrial, Automotive, Machinery, Electronic and Optical, and Other product groups
  • Disclose historical financial performance for every business acquired, regrouped, or reclassified, for at least four quarters after the transaction
  • Stop voicing unattainable long-term targets that management repeatedly misses

KPIs cited

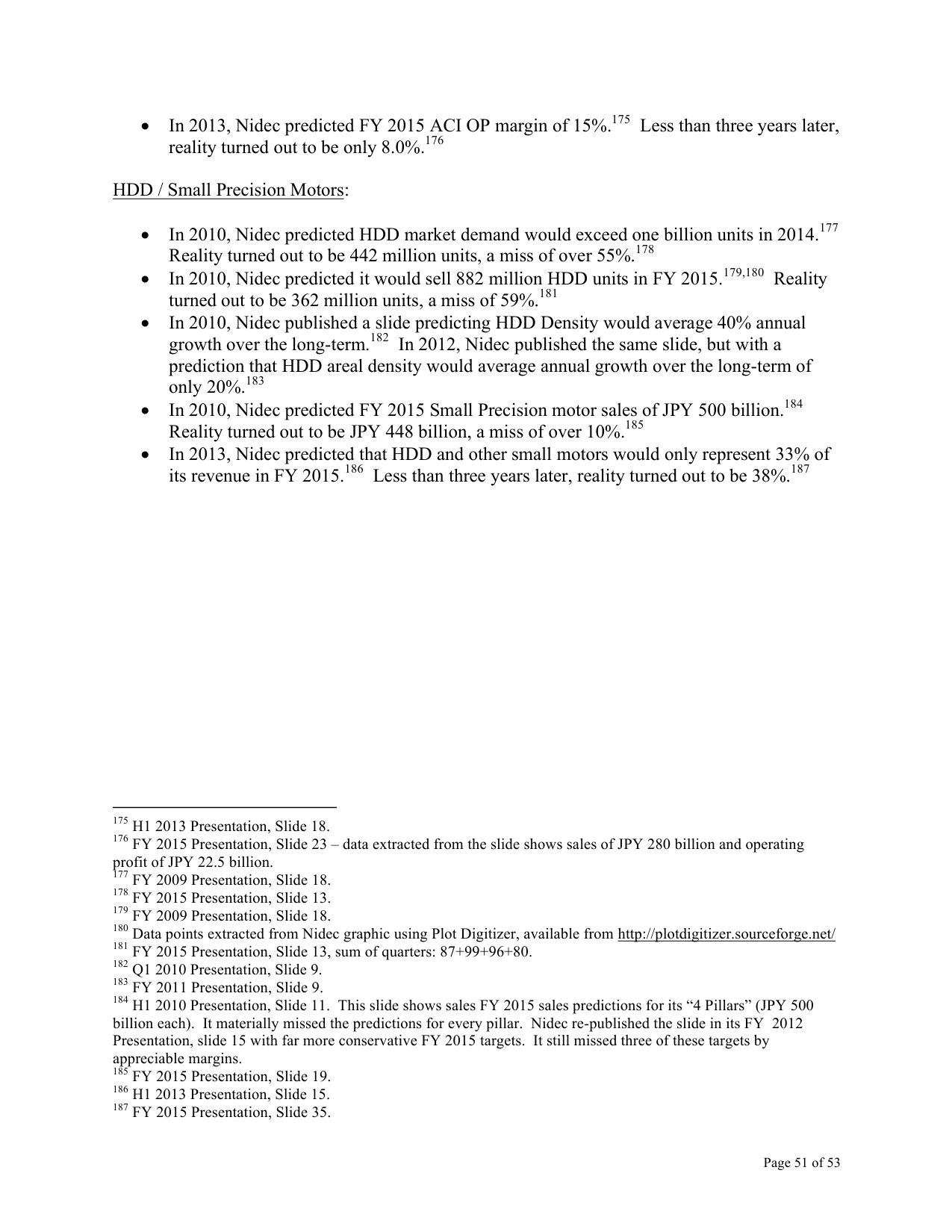
Organic revenue growth CAGR FY11-FY15
0.05% actual vs. 11.4% projected by management in 2012
FY15 sales target miss
JPY 1,178bn actual vs. JPY 2,000bn target — missed by 41%
FY15 automotive sales target miss
Missed by 75% (FY12 target) and 46% (FY15 target)
Effective tax rate
22.2% in FY15 vs. Japan statutory 33.0% — boosted EPS by 11.4% since FY13
Questionable PP&E and inventory write-offs
JPY 36 billion in FY12, boosted reported profit by JPY 10-15bn/year
Implied non-HDD EV/EBITDA
21.5x — close to Facebook at 24.9x, vs. auto peers 6.0-9.0x
Fair value per share
JPY 4,764, implying 52% downside from JPY 9,888
EPS unit market share FY15 prediction
Predicted 36% in 2012, actual 23% — missed by 1,300 bps

Pattern membership

Where this document fits across the library's 12 rhetorical / structural patterns.

Precedents cited

  • Sharp under Mikio Katayama (value destruction during his tenure as president/COO)
  • Renesas Electronics (Bunsei Kure departure to Renesas; failed Nidec bid)

Notable slides (6)

Notes

Classic Muddy Waters short report — Word-document format with embedded screenshots of Nidec's own investor-presentation slides used as evidence. Memorable rhetorical move: weaponizing Nagamori's self-published comic-book persona ('The Man Hotter Than the Sun') as a metaphor for the analyst herd's blindness, and the line 'Nidec's auditor is to audit failures what Michael Jordan was to basketball'. Combines target-miss accountability table (p.5), peer-multiple shaming (Facebook comparison, p.41-44), governance red flags (JPY 14.5bn loan to CEO, ex-Sharp CTO), and prescriptive transparency demands. Stake size not disclosed — typical for short-sellers. Date and ticker confirmed from cover (December 13, 2016; 6594 JP).